Umgedrehtes B Kopieren
Markieren Sie das gewünschte Zeichen und drücken Sie CtrlC um das Zeichen in die Zwischenablage zu kopieren. Umgedrehtes-Bankdrücken mit Tobi - viel SpaßGekräftigt wird der große Rückenmuskel Bizeps hintere Schulter Unterarme Gesäßmuskeln Oberschenkelmuskeln u.

Umgekehrtes Ausrufezeichen In Word So Geht S Chip
In Word ist das einfach Ctrl Alt Shift Frage- oder.

Umgedrehtes b kopieren. So schreibt ihr ein umgedrehtes Fragezeichen Wie kann ich auf der Tastatur von Windows oder einem Mac das umgekehrte Ausrufezeichen schreiben. Hallo im Spanisch-Kurs wurde ich gefragt wie man in Excel das umgekehrte Ausrufezeichen eingeben kann. Das funktioniert sowohl unter Windows Mac und Linux als auch auf jedem Handy.
Verkehrt herum gedreht Text einfach markieren und dann mit StrgC kopieren. ALT-Taste 0191 auf dem Ziffernblock.
Sehr kleines A. Vorweg sei gesagt es gibt verschiedene Möglichkeiten wie man das Zeichen auf dem PC unter Windows oder auf dem Mac machen kann. Und mit StrgV wieder irgendwo einfügen.
Aus den nachfolgenden Tabellen oder aus geeigneten Mustertexten. Eingabehilfe des Betriebssystems oder eines externen Texteditors ZeichentabelleEingabe als HTML-Entität. Das leere Herz Symbol kopieren indem du es markierst und STRG C drückst.
Der einfachste Weg ist wohl das Zeichen von dieser Seite zu kopieren. Wenn Du neben diesem Zeichen auch noch andere falsch herum suchst dann. Umgedrehtes kreuz emoji Umgedrehtes Kreuz bei Amazon.
Wenn Sie einen Backslash einen umgedrehten Schrägstrich erzeugen möchten drücken Sie auf Ihrer Tastatur die Alt Gr- sowie die ß-Taste gleichzeitig. Versuche gleich verkehrt herum zu schreiben und verblüffe deine Freunde.
Dez-Code Hex-Code Name Zeichen Beschreibung A. Steuerung Alt Shift 1. Markiere einfach das Zeichen und klicke mit der rechten Maustaste drauf und Kopieren.
Halten Sie diese beiden Tasten gemeinsam gedrückt so erzeugen Sie einen Backslash der so aussieht. In Word und Co. Hier werden die Buchstaben durch einen Effekt horizontal oder vertikal gedreht werden.
40 Herz-Symbole zum einfügen in Word Dokumente Präsentationen Excel Tabellen E-Mails Nachrichten und vielem mehr. Eingabe direkt mit der Tastatur siehe auch Tottaste. Umgedrehtes Ausrufezeichen zum Kopieren Windows Mac.
Mit dem Text Umdreher kannst du einen Text oder ein Wort ganz schnell mit einem Klick rückwärts schreiben verkehrt herum oder den Text. Da ein umgedrehtes Ausrufezeichen allerdings nicht auf der deutschen Handy- oder PC Tastatur zu finden ist kannst du dir hier ohne Umwege ganz einfach ein kleines umgekehrtes Ausrufezeichen kopieren. Auf diese Weise können Sie zum Beispiel sehr einfach Sonderzeichen in Word einfügen.
Umgekehrtes Ausrufezeichen oder Fragezeichen zu alt für eine Antwort Oliver Stephan 2003-11-11 215804 UTC. Sowohl unter Windows als auch unter Mac OS X hast Du verschiedene Möglichkeiten ein umgedrehtes Ausrufezeichen zu schreiben. Hier zeige ich euch wir ihr ein Haus auf dem Kopf baut.
Eine Auflistung von Symbolen des Rechtsextremismus. Ein umgekehrtes oder umgedrehtes Frage- und Ausrufezeichen sind ganz gewöhnliche Satzzeichen die umgedreht auf dem Kopf stehend in der spanischen Sprache verwendet werden. Umgekehrtes Fragezeichen kopieren Copiez Collez facilement Unicode Hex NCRs Umgekehrtes Fragezeichen kopieren Mis à jour en 2021.
Zum einen kannst Du es dir einfach aus diesem Artikel kopieren und zum Beispiel in ein Word-Dokument einfügen du kannst es über die bekannte Zeichentabelle unter Windows erstellen oder du benutzt einfach die entsprechende-Tastenkombination denn auch für dieses. Umgedrehtes Fragezeichen zum Kopieren. Anschließend kannst Du es überall wieder per Rechtsklick einfügen.
Alternativ setzt ihr den Maus-Cursor an die Stelle im Word-Dokument wo das umgekehrte Ausrufzeichen. Kopieren und Einfügen aus der Zeichentabelle bzw. Text umdrehen Rückwärts Verkehrt herum - Textfunktionen.
Schreibe in den Kasten hier drunter dein en Text. Mit Ihrer Tastatur können Sie nicht nur Buchstaben Zahlen und ein paar Sonderzeichen eintippen sondern auch mittels bestimmter Tastenkombination viele verschiedene Zeichen und Symbole. Deshalb werden alle Frage- und Ausrufesätze auf Spanisch mit dem kleinen umgekehrten Frage- und Ausrufezeichen eingeleitet.
Jetzt Windows Laptop auf amazon entdecken. Um das Zeichen in einer andere Anwendung einzufügen drücken Sie CtrlV. Der Text kann aber auch Verkehrt herum angezeigt werden.
Umgekehrtes Ausrufezeichen in Word einfügen. Es gibt verschiedene Möglichkeiten auf Wikipedia-Seiten Sonderzeichen einzufügen. Am einfachsten ist es sich das entsprechende Zeichen im Internet zu suchen und zu kopieren wie in diesem Fall das -.
Umgedrehtes Fragezeichen auf Tastatur machen.

B 3 Wo Die Affen Gaffen Ch 3 Unterrichtsmaterial In Den Fachern Kita Musik Kindergarten Lieder Sachunterricht Grundschule Kindergarten

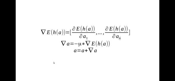
Was Bedeutet Die Umgedrehte 6 Gradientenabstieg Schule Pc Mathe

Umgekehrtes Ausrufezeichen In Word So Geht S Chip

Mathematische Sonderzeichen Auf Dem Mac Macwelt

22 Im Windows Explorer Einen Umgedrehten Schragstrich Backslash Schreiben Youtube

Pin Von Cara Winter Auf Lustiges Witzige Spruche Lustige Spruche Inspirierende Zitate Und Spruche

So Macht Man Ein Umgedrehtes Fragezeichen Mit Der Tastatur

So Macht Man Ein Umgedrehtes Fragezeichen Mit Der Tastatur

Unicodeblock Verschiedene Technische Zeichen Wikipedia

Tastenkombinationen Fur Sonderzeichen Symbole Mit Tastatur Eingeben

Posting Komentar untuk "Umgedrehtes B Kopieren"